Скандинавская одиссея матроса Лабутина.
В 2000 году "Норвежский журнал морского дела" выпустил книгу военного историка и писателя Бьёрна Братбака "Свенсгрюнн 12 апреля 1943 года - на войне страдает безоружный". Книга вышла на норвежском и русском языках (перевод Виктора Гайдука), однако в самой России еще не издавалась. В книге автор рассказывает о малоизвестных подробностях пленения и освобождения из фашистской неволи матроса Алексея Лабутина - члена экипажа подводной лодки К-21 под командованием легендарного Николая Лунина.
...Полуночный звонок в гостиничном номере раздался неожиданно.
- Тебя ждет сюрприз, - сразу же после приветствия поспешил сообщить мне мой норвежский приятель Бернт Линдеклейв, с которым мы познакомились во время дальнего морского похода двух российских пограничных кораблей вокруг Скандинавии три года назад.
Господин Линдеклейв - поборник укрепления дружественных связей между нашими странами. Ежегодно он организует фестивали искусств, в которых участвуют и российские артисты и музыканты.
Итак, меня ждал сюрприз. Я знал, что Бернт умеет делать сюрпризы. Для меня же сюрпризом оказалось знакомство с норвежским историком и писателем Бьёрном Братбаком, который выпустил книгу о судьбе русского матроса Алексея Лабутина со знаменитой К-21, которой командовал Николай Лунин.
Бьёрн Братбак, высокий, импозантный, с аристократической внешностью и манерами, обходительный в общении. Голубые, цвета воды в фиордах, глаза, аккуратная прическа с проседью, обаятельная улыбка. До недавнего времени он работал управленцем в одной из структур крупной нефтедобывающей компании. Но по призванию господин Братбак - военный историк и писатель. Творческим исследованиям вот уже много лет отдает все свободное время. Итог - многочисленные статьи и книги о неизвестных страницах военной и послевоенной истории Северной Европы. Причем во многих из них прослеживаются судьбы наших соотечественников.
Итак, о чем же поведал Бьёрн Братбак в книге: "Свенсгрюнн 12 апреля 1943 года - на войне страдает безоружный".
Идя в надводном положении, Лунин обнаружил норвежские суда. Учитывая, что Норвегия была оккупирована гитлеровской Германией, а по законам военного времени суда под флагом противоборствующей стороны подлежали уничтожению, командир приказал открыть по ним огонь. К сожалению, выстрелы оказались точными. Один мотобот был потоплен. Девять рыбаков (а это были именно они) погибли, а пятеро получили ранения.
Конечно, сегодня, почти через шесть десятилетий, мы можем по-иному воспринимать эти события. Но тогда, напомню, шла война, и в этой войне нередко страдали и невиновные. Историк Бьёрн Братбак как раз и исследует эту сторону войны.
Алексею в ледяной апрельской воде грозила неминуемая гибель. Но ему невероятно повезло: его, совершенно обессилевшего, заметили и вытащили из воды норвежские рыбаки. Те самые, которые подверглись артиллерийскому обстрелу с К-21. Естественно,что на берегу Лабутин попал к немцам. После допросов его бросили в лагерь для военнопленных в Тромсё. Военнопленные работали в порту Свенсгрюнна. Лабутин познакомился с активистами подпольной группы, действовавшей в лагере. Им помогал норвежский гражданин русского происхождения Иван Хохлин, работавший бригадиром. Именно Хохлин, связанный с борцами норвежского Сопротивления, помог Лабутину и другому пленному, морскому офицеру Виталию Юрченко, в октябре 1944 года совершить побег. На всем пути беглецам помогали простые норвежцы, в их числе Турлейф Маркюсен и Мейер Юхансен.
Планировалось, что Турлейф перейдет границу вместе с русскими, но его по доносу соседки арестовали гестаповцы. Однако за день до ареста он сумел предупредить Юрченко и Лабутина об опасности и передал им записку со схемой маршрута, По этой "карте" Мейер Юхансен довел русских до самой границы.
В книге Бьёрна Братбака подробно описаны неимоверные трудности и приключения матроса Лабутина и лейтенанта Юрченко. А путь этот был не близким: через норвежско-шведскую границу (Швеция тогда была нейтральной) в Стокгольм, а далее - в Финляндию. К тому времени она уже вышла из войны. Военные действия были прекращены 5 сентября 1944 года. Из Хельсинки Алексей Лабутин и Виталий Юрченко прибыли в Выборг поездом.
Поразительно, что, несмотря на то, что к бывшим пленным у военной контрразведки было множество вопросов, им удалось избежать по возвращении сталинских лагерей. Видимо, свою роль сыграло сообщение советского посла в Швеции А.М. Коллонтай о подробностях побега двух моряков из фашистского плена. Юрченко и Лабутин участвовали в боевых действиях на конечном этапе войны. Алексей воевал в пехоте под Кенигсбергом, а Виталий, как опытный морской офицер, был направлен на Каспийскую, а затем Днепровскую флотилию. Оба были удостоены боевых наград.
Чтобы рассказать в своей книге об удивительной одиссее матроса Лабутина, Бьёрн Братбак изучил сотни документов в норвежских, немецких и российских архивах. В поисках ему помогали бывшие морские офицеры - члены Санкт-Петербургского клуба подводников. Через своих русских друзей господин Братбак разыскал и самого Алексея Лабутина. Каково же было удивление ветерана-подводника, когда спустя более чем полвека он вновь услышал норвежскую речь в срубленном своими руками деревянном доме с затейливой резьбой. Сюда, в глухую лесную деревеньку в шестистах километрах от Москвы, норвежский историк выбрался, чтобы встретиться с героем своей книги. Конечно, им было о чем поговорить.
Идею выпуска книги одобрил и поддержал наш посол в Осло - известный дипломат Юлий Квицинский. Он же написал к ней и предисловие. "Война - вещь жестокая и состоять только из однозначных событий не может, - пишет Квицинский. - Вглядываясь в ее суровое лицо, исследуя отдельные эпизоды, не будем забывать о главном: в этой войне мы были вместе и победили".
Недавно Алексей Лабутин по приглашению норвежских ветеранов побывал в тех местах, где его спасли местные рыбаки в далекую военную пору. Его встречали как родного. Многие из участников тех событий до сих пор живы. Они не могли сдержать слез, встретив Алексея. Эти кадры видела вся страна. Время сгладило боль, а память оставила лучшее, что было, - чувство сострадания к человеку, унесенному военной волной и попавшему в беду.
Так что я благодарен моему норвежскому другу Бернту Линдеклейву за его "сюрприз" - знакомство с замечательным историком и писателем Бьёрном Братбаком. Для меня его книга об одиссее подводника Алексея Лабутина - самый дорогой подарок. Сам же писатель намерен продолжать поиск. У него есть заветная мечта - побывать в мемориальном комплексе К-21 в Североморске. Вот уже несколько месяцев Бьёрн ждет ответа от российских военных властей на свое письмо с просьбой разрешить ему посетить знаменитую лунинскую субмарину, ставшую музеем.
© В. РОЩУПКИН, кандидат политических наук, заслуженный работник культуры Российской Федерации
В 2000 году "Норвежский журнал морского дела" выпустил книгу военного историка и писателя Бьёрна Братбака "Свенсгрюнн 12 апреля 1943 года - на войне страдает безоружный". Книга вышла на норвежском и русском языках (перевод Виктора Гайдука), однако в самой России еще не издавалась. В книге автор рассказывает о малоизвестных подробностях пленения и освобождения из фашистской неволи матроса Алексея Лабутина - члена экипажа подводной лодки К-21 под командованием легендарного Николая Лунина.
...Полуночный звонок в гостиничном номере раздался неожиданно.
- Тебя ждет сюрприз, - сразу же после приветствия поспешил сообщить мне мой норвежский приятель Бернт Линдеклейв, с которым мы познакомились во время дальнего морского похода двух российских пограничных кораблей вокруг Скандинавии три года назад.
Господин Линдеклейв - поборник укрепления дружественных связей между нашими странами. Ежегодно он организует фестивали искусств, в которых участвуют и российские артисты и музыканты.
Итак, меня ждал сюрприз. Я знал, что Бернт умеет делать сюрпризы. Для меня же сюрпризом оказалось знакомство с норвежским историком и писателем Бьёрном Братбаком, который выпустил книгу о судьбе русского матроса Алексея Лабутина со знаменитой К-21, которой командовал Николай Лунин.
Бьёрн Братбак, высокий, импозантный, с аристократической внешностью и манерами, обходительный в общении. Голубые, цвета воды в фиордах, глаза, аккуратная прическа с проседью, обаятельная улыбка. До недавнего времени он работал управленцем в одной из структур крупной нефтедобывающей компании. Но по призванию господин Братбак - военный историк и писатель. Творческим исследованиям вот уже много лет отдает все свободное время. Итог - многочисленные статьи и книги о неизвестных страницах военной и послевоенной истории Северной Европы. Причем во многих из них прослеживаются судьбы наших соотечественников.
Итак, о чем же поведал Бьёрн Братбак в книге: "Свенсгрюнн 12 апреля 1943 года - на войне страдает безоружный".
 В апреле 1943 года подводная лодка К-21 под командованием капитан-лейтенанта Николая Лунина вышла на боевое задание с базы Северного флота Полярный. Командиру была поставлена задача обнаружить и уничтожить германский противолодочный корабль "Карл Гальстер" (бортовой номер Z-20). Но Лунин не нашел противника. Может, и к лучшему. После раздела флота "третьего рейха" союзниками корабль достался СССР. В составе Балтийского флота под именем "Прочный" бывший немецкий охотник за подлодками находился до 1958 года.
Идя в надводном положении, Лунин обнаружил норвежские суда. Учитывая, что Норвегия была оккупирована гитлеровской Германией, а по законам военного времени суда под флагом противоборствующей стороны подлежали уничтожению, командир приказал открыть по ним огонь. К сожалению, выстрелы оказались точными. Один мотобот был потоплен. Девять рыбаков (а это были именно они) погибли, а пятеро получили ранения.
Конечно, сегодня, почти через шесть десятилетий, мы можем по-иному воспринимать эти события. Но тогда, напомню, шла война, и в этой войне нередко страдали и невиновные. Историк Бьёрн Братбак как раз и исследует эту сторону войны.
 Однако и К-21 понесла потери: исчез матрос Алексей Лабутин. Норвежцы здесь были не при чем: рыбаки не имели оружия. 19-летний Алексей выполнял на лодке обязанности вестового и матроса на камбузе. Однако по боевому расписанию он действовал в качестве подносчика снарядов для носового орудия, и во время обстрела его смыло волной со скользкой палубы. Командир, хотя и заметил потерю бойца, по каким-то причинам отдал приказ на срочное погружение.
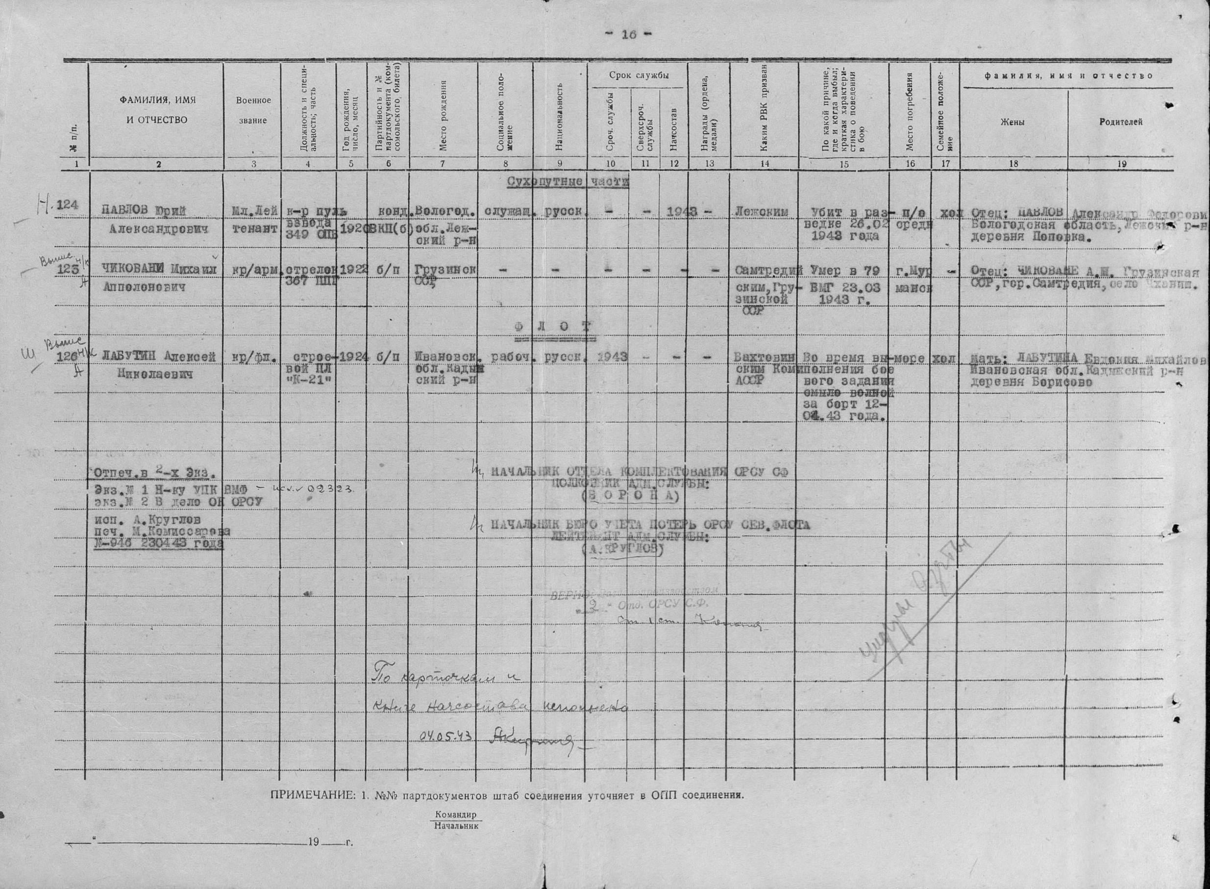
Алексею в ледяной апрельской воде грозила неминуемая гибель. Но ему невероятно повезло: его, совершенно обессилевшего, заметили и вытащили из воды норвежские рыбаки. Те самые, которые подверглись артиллерийскому обстрелу с К-21. Естественно,что на берегу Лабутин попал к немцам. После допросов его бросили в лагерь для военнопленных в Тромсё. Военнопленные работали в порту Свенсгрюнна. Лабутин познакомился с активистами подпольной группы, действовавшей в лагере. Им помогал норвежский гражданин русского происхождения Иван Хохлин, работавший бригадиром. Именно Хохлин, связанный с борцами норвежского Сопротивления, помог Лабутину и другому пленному, морскому офицеру Виталию Юрченко, в октябре 1944 года совершить побег. На всем пути беглецам помогали простые норвежцы, в их числе Турлейф Маркюсен и Мейер Юхансен.
Планировалось, что Турлейф перейдет границу вместе с русскими, но его по доносу соседки арестовали гестаповцы. Однако за день до ареста он сумел предупредить Юрченко и Лабутина об опасности и передал им записку со схемой маршрута, По этой "карте" Мейер Юхансен довел русских до самой границы.
В книге Бьёрна Братбака подробно описаны неимоверные трудности и приключения матроса Лабутина и лейтенанта Юрченко. А путь этот был не близким: через норвежско-шведскую границу (Швеция тогда была нейтральной) в Стокгольм, а далее - в Финляндию. К тому времени она уже вышла из войны. Военные действия были прекращены 5 сентября 1944 года. Из Хельсинки Алексей Лабутин и Виталий Юрченко прибыли в Выборг поездом.
Поразительно, что, несмотря на то, что к бывшим пленным у военной контрразведки было множество вопросов, им удалось избежать по возвращении сталинских лагерей. Видимо, свою роль сыграло сообщение советского посла в Швеции А.М. Коллонтай о подробностях побега двух моряков из фашистского плена. Юрченко и Лабутин участвовали в боевых действиях на конечном этапе войны. Алексей воевал в пехоте под Кенигсбергом, а Виталий, как опытный морской офицер, был направлен на Каспийскую, а затем Днепровскую флотилию. Оба были удостоены боевых наград.
Чтобы рассказать в своей книге об удивительной одиссее матроса Лабутина, Бьёрн Братбак изучил сотни документов в норвежских, немецких и российских архивах. В поисках ему помогали бывшие морские офицеры - члены Санкт-Петербургского клуба подводников. Через своих русских друзей господин Братбак разыскал и самого Алексея Лабутина. Каково же было удивление ветерана-подводника, когда спустя более чем полвека он вновь услышал норвежскую речь в срубленном своими руками деревянном доме с затейливой резьбой. Сюда, в глухую лесную деревеньку в шестистах километрах от Москвы, норвежский историк выбрался, чтобы встретиться с героем своей книги. Конечно, им было о чем поговорить.
Идею выпуска книги одобрил и поддержал наш посол в Осло - известный дипломат Юлий Квицинский. Он же написал к ней и предисловие. "Война - вещь жестокая и состоять только из однозначных событий не может, - пишет Квицинский. - Вглядываясь в ее суровое лицо, исследуя отдельные эпизоды, не будем забывать о главном: в этой войне мы были вместе и победили".
Недавно Алексей Лабутин по приглашению норвежских ветеранов побывал в тех местах, где его спасли местные рыбаки в далекую военную пору. Его встречали как родного. Многие из участников тех событий до сих пор живы. Они не могли сдержать слез, встретив Алексея. Эти кадры видела вся страна. Время сгладило боль, а память оставила лучшее, что было, - чувство сострадания к человеку, унесенному военной волной и попавшему в беду.
Так что я благодарен моему норвежскому другу Бернту Линдеклейву за его "сюрприз" - знакомство с замечательным историком и писателем Бьёрном Братбаком. Для меня его книга об одиссее подводника Алексея Лабутина - самый дорогой подарок. Сам же писатель намерен продолжать поиск. У него есть заветная мечта - побывать в мемориальном комплексе К-21 в Североморске. Вот уже несколько месяцев Бьёрн ждет ответа от российских военных властей на свое письмо с просьбой разрешить ему посетить знаменитую лунинскую субмарину, ставшую музеем.
© В. РОЩУПКИН, кандидат политических наук, заслуженный работник культуры Российской Федерации
